Double Integrator#
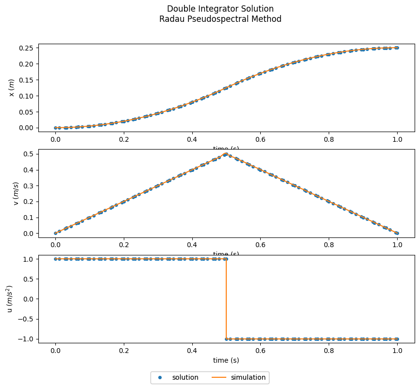
In the double integrator problem, we seek to maximize the distance traveled by a block (that starts and ends at rest) sliding without friction along a horizontal surface, with acceleration as the control.
We minimize the final time, \(t_f\), by varying the dynamic control, \(u\), subject to the dynamics:
The initial conditions are
and the final conditions are
The control \(u\) is constrained to fall between -1 and 1. Due to the fact that the control appears linearly in the equations of motion, we should expect bang-bang behavior in the control (alternation between its extreme values).
The ODE System: double_integrator_ode.py#
This problem is unique in that we do not actually have to calculate anything in the Dymos formulation of the ODE. We create an ExplicitComponent and provide it with the num_nodes option, but it has no inputs and no outputs. The rates for the states are entirely provided by the other states and controls.
class DoubleIntegratorODE(om.ExplicitComponent):
    """
    The double integrator is a special case where the state rates are all set to other states
    or parameters.  Since we aren't computing any other outputs, the ODE doesn't actually
    need to compute anything.  OpenMDAO will warn us that the component has no outputs, but
    Dymos will solve the problem just fine.
    Note we still have to declare the num_nodes option in initialize so that Dymos can instantiate
    the ODE.
    Also note that neither time, states, nor parameters have targets, since there are no inputs
    in the ODE system.
    """
    def initialize(self):
        self.options.declare('num_nodes', types=int)
Building and running the problem#
In order to facilitate the bang-bang behavior in the control, we disable continuity and rate continuity in the control value.
import matplotlib.pyplot as plt
import openmdao.api as om
import dymos as dm
from dymos.examples.plotting import plot_results
# Initialize the problem and assign the driver
p = om.Problem(model=om.Group())
p.driver = om.pyOptSparseDriver()
p.driver.options['optimizer'] = 'SLSQP'
p.driver.declare_coloring()
# Setup the trajectory and its phase
traj = p.model.add_subsystem('traj', dm.Trajectory())
transcription = dm.Radau(num_segments=30, order=3, compressed=False)
phase = traj.add_phase('phase0',
                       dm.Phase(ode_class=DoubleIntegratorODE, transcription=transcription))
#
# Set the options for our variables.
#
phase.set_time_options(fix_initial=True, fix_duration=True, units='s')
phase.add_state('v', fix_initial=True, fix_final=True, rate_source='u', units='m/s')
phase.add_state('x', fix_initial=True, rate_source='v', units='m')
phase.add_control('u', units='m/s**2', scaler=0.01, continuity=False, rate_continuity=False,
                  rate2_continuity=False, shape=(1, ), lower=-1.0, upper=1.0)
#
# Maximize distance travelled.
#
phase.add_objective('x', loc='final', scaler=-1)
p.model.linear_solver = om.DirectSolver()
#
# Setup the problem and set our initial values.
#
p.setup(check=True)
phase.set_time_val(initial=0.0, duration=1.0)
phase.set_state_val('x', [0, 0.25])
phase.set_state_val('v', [0, 0])
phase.set_control_val('u', [1, -1])
#
# Solve the problem.
#
dm.run_problem(p, simulate=True)
'rhs_checking' is disabled for 'DirectSolver in <model> <class Group>' but that solver has redundant adjoint solves. If it is expensive to compute derivatives for this solver, turning on 'rhs_checking' may improve performance.
INFO: checking out_of_order...
INFO:     out_of_order check complete (0.000246 sec).
INFO: checking system...
INFO:     system check complete (0.000020 sec).
INFO: checking solvers...
INFO:     solvers check complete (0.000197 sec).
INFO: checking dup_inputs...
INFO:     dup_inputs check complete (0.000050 sec).
INFO: checking missing_recorders...
INFO:     missing_recorders check complete (0.000002 sec).
INFO: checking unserializable_options...
INFO:     unserializable_options check complete (0.001602 sec).
INFO: checking comp_has_no_outputs...
WARNING: The following Components do not have any outputs:
   traj.phases.phase0.rhs_all
INFO:     comp_has_no_outputs check complete (0.000384 sec).
INFO: checking auto_ivc_warnings...
INFO:     auto_ivc_warnings check complete (0.000002 sec).
Jacobian shape: (181, 327)  (1.51% nonzero)
FWD solves: 0   REV solves: 6
Total colors vs. total size: 6 vs 181  (96.69% improvement)
Sparsity computed using tolerance: 1e-25.
Dense total jacobian for Problem 'problem' was computed 3 times.
Time to compute sparsity:   0.0581 sec
Time to compute coloring:   0.1587 sec
Memory to compute coloring:   0.5000 MB
Coloring created on: 2025-09-30 18:53:13
+------------------------------------------------------------------------------+
| pyOptSparse Warning: Values in x were outside bounds during a minimize       |
| step, clipping to bounds                                                     |
+------------------------------------------------------------------------------+
Optimization Problem -- Optimization using pyOpt_sparse
================================================================================
    Objective Function: _objfunc
    Solution: 
--------------------------------------------------------------------------------
    Total Time:                    2.7117
       User Objective Time :       0.0205
       User Sensitivity Time :     0.7944
       Interface Time :            0.2236
       Opt Solver Time:            1.6732
    Calls to Objective Function :      19
    Calls to Sens Function :           19
   Objectives
      Index  Name                            Value
          0  traj.phase0.states:x    -2.500000E-01
   Variables (c - continuous, i - integer, d - discrete)
      Index  Name                        Type      Lower Bound            Value      Upper Bound     Status
          0  traj.phase0.states:v_0         c    -1.000000E+21     1.183503E-02     1.000000E+21           
          1  traj.phase0.states:v_1         c    -1.000000E+21     2.816497E-02     1.000000E+21           
          2  traj.phase0.states:v_2         c    -1.000000E+21     3.333333E-02     1.000000E+21           
          3  traj.phase0.states:v_3         c    -1.000000E+21     3.333333E-02     1.000000E+21           
          4  traj.phase0.states:v_4         c    -1.000000E+21     4.516837E-02     1.000000E+21           
          5  traj.phase0.states:v_5         c    -1.000000E+21     6.149830E-02     1.000000E+21           
          6  traj.phase0.states:v_6         c    -1.000000E+21     6.666667E-02     1.000000E+21           
          7  traj.phase0.states:v_7         c    -1.000000E+21     6.666667E-02     1.000000E+21           
          8  traj.phase0.states:v_8         c    -1.000000E+21     7.850170E-02     1.000000E+21           
          9  traj.phase0.states:v_9         c    -1.000000E+21     9.483163E-02     1.000000E+21           
         10  traj.phase0.states:v_10        c    -1.000000E+21     1.000000E-01     1.000000E+21           
         11  traj.phase0.states:v_11        c    -1.000000E+21     1.000000E-01     1.000000E+21           
         12  traj.phase0.states:v_12        c    -1.000000E+21     1.118350E-01     1.000000E+21           
         13  traj.phase0.states:v_13        c    -1.000000E+21     1.281650E-01     1.000000E+21           
         14  traj.phase0.states:v_14        c    -1.000000E+21     1.333333E-01     1.000000E+21           
         15  traj.phase0.states:v_15        c    -1.000000E+21     1.333333E-01     1.000000E+21           
         16  traj.phase0.states:v_16        c    -1.000000E+21     1.451684E-01     1.000000E+21           
         17  traj.phase0.states:v_17        c    -1.000000E+21     1.614983E-01     1.000000E+21           
         18  traj.phase0.states:v_18        c    -1.000000E+21     1.666667E-01     1.000000E+21           
         19  traj.phase0.states:v_19        c    -1.000000E+21     1.666667E-01     1.000000E+21           
         20  traj.phase0.states:v_20        c    -1.000000E+21     1.785017E-01     1.000000E+21           
         21  traj.phase0.states:v_21        c    -1.000000E+21     1.948316E-01     1.000000E+21           
         22  traj.phase0.states:v_22        c    -1.000000E+21     2.000000E-01     1.000000E+21           
         23  traj.phase0.states:v_23        c    -1.000000E+21     2.000000E-01     1.000000E+21           
         24  traj.phase0.states:v_24        c    -1.000000E+21     2.118350E-01     1.000000E+21           
         25  traj.phase0.states:v_25        c    -1.000000E+21     2.281650E-01     1.000000E+21           
         26  traj.phase0.states:v_26        c    -1.000000E+21     2.333333E-01     1.000000E+21           
         27  traj.phase0.states:v_27        c    -1.000000E+21     2.333333E-01     1.000000E+21           
         28  traj.phase0.states:v_28        c    -1.000000E+21     2.451684E-01     1.000000E+21           
         29  traj.phase0.states:v_29        c    -1.000000E+21     2.614983E-01     1.000000E+21           
         30  traj.phase0.states:v_30        c    -1.000000E+21     2.666667E-01     1.000000E+21           
         31  traj.phase0.states:v_31        c    -1.000000E+21     2.666667E-01     1.000000E+21           
         32  traj.phase0.states:v_32        c    -1.000000E+21     2.785017E-01     1.000000E+21           
         33  traj.phase0.states:v_33        c    -1.000000E+21     2.948316E-01     1.000000E+21           
         34  traj.phase0.states:v_34        c    -1.000000E+21     3.000000E-01     1.000000E+21           
         35  traj.phase0.states:v_35        c    -1.000000E+21     3.000000E-01     1.000000E+21           
         36  traj.phase0.states:v_36        c    -1.000000E+21     3.118350E-01     1.000000E+21           
         37  traj.phase0.states:v_37        c    -1.000000E+21     3.281650E-01     1.000000E+21           
         38  traj.phase0.states:v_38        c    -1.000000E+21     3.333333E-01     1.000000E+21           
         39  traj.phase0.states:v_39        c    -1.000000E+21     3.333333E-01     1.000000E+21           
         40  traj.phase0.states:v_40        c    -1.000000E+21     3.451684E-01     1.000000E+21           
         41  traj.phase0.states:v_41        c    -1.000000E+21     3.614983E-01     1.000000E+21           
         42  traj.phase0.states:v_42        c    -1.000000E+21     3.666667E-01     1.000000E+21           
         43  traj.phase0.states:v_43        c    -1.000000E+21     3.666667E-01     1.000000E+21           
         44  traj.phase0.states:v_44        c    -1.000000E+21     3.785017E-01     1.000000E+21           
         45  traj.phase0.states:v_45        c    -1.000000E+21     3.948316E-01     1.000000E+21           
         46  traj.phase0.states:v_46        c    -1.000000E+21     4.000000E-01     1.000000E+21           
         47  traj.phase0.states:v_47        c    -1.000000E+21     4.000000E-01     1.000000E+21           
         48  traj.phase0.states:v_48        c    -1.000000E+21     4.118350E-01     1.000000E+21           
         49  traj.phase0.states:v_49        c    -1.000000E+21     4.281650E-01     1.000000E+21           
         50  traj.phase0.states:v_50        c    -1.000000E+21     4.333333E-01     1.000000E+21           
         51  traj.phase0.states:v_51        c    -1.000000E+21     4.333333E-01     1.000000E+21           
         52  traj.phase0.states:v_52        c    -1.000000E+21     4.451684E-01     1.000000E+21           
         53  traj.phase0.states:v_53        c    -1.000000E+21     4.614983E-01     1.000000E+21           
         54  traj.phase0.states:v_54        c    -1.000000E+21     4.666667E-01     1.000000E+21           
         55  traj.phase0.states:v_55        c    -1.000000E+21     4.666667E-01     1.000000E+21           
         56  traj.phase0.states:v_56        c    -1.000000E+21     4.785017E-01     1.000000E+21           
         57  traj.phase0.states:v_57        c    -1.000000E+21     4.948316E-01     1.000000E+21           
         58  traj.phase0.states:v_58        c    -1.000000E+21     5.000000E-01     1.000000E+21           
         59  traj.phase0.states:v_59        c    -1.000000E+21     5.000000E-01     1.000000E+21           
         60  traj.phase0.states:v_60        c    -1.000000E+21     4.881650E-01     1.000000E+21           
         61  traj.phase0.states:v_61        c    -1.000000E+21     4.718350E-01     1.000000E+21           
         62  traj.phase0.states:v_62        c    -1.000000E+21     4.666667E-01     1.000000E+21           
         63  traj.phase0.states:v_63        c    -1.000000E+21     4.666667E-01     1.000000E+21           
         64  traj.phase0.states:v_64        c    -1.000000E+21     4.548316E-01     1.000000E+21           
         65  traj.phase0.states:v_65        c    -1.000000E+21     4.385017E-01     1.000000E+21           
         66  traj.phase0.states:v_66        c    -1.000000E+21     4.333333E-01     1.000000E+21           
         67  traj.phase0.states:v_67        c    -1.000000E+21     4.333333E-01     1.000000E+21           
         68  traj.phase0.states:v_68        c    -1.000000E+21     4.214983E-01     1.000000E+21           
         69  traj.phase0.states:v_69        c    -1.000000E+21     4.051684E-01     1.000000E+21           
         70  traj.phase0.states:v_70        c    -1.000000E+21     4.000000E-01     1.000000E+21           
         71  traj.phase0.states:v_71        c    -1.000000E+21     4.000000E-01     1.000000E+21           
         72  traj.phase0.states:v_72        c    -1.000000E+21     3.881650E-01     1.000000E+21           
         73  traj.phase0.states:v_73        c    -1.000000E+21     3.718350E-01     1.000000E+21           
         74  traj.phase0.states:v_74        c    -1.000000E+21     3.666667E-01     1.000000E+21           
         75  traj.phase0.states:v_75        c    -1.000000E+21     3.666667E-01     1.000000E+21           
         76  traj.phase0.states:v_76        c    -1.000000E+21     3.548316E-01     1.000000E+21           
         77  traj.phase0.states:v_77        c    -1.000000E+21     3.385017E-01     1.000000E+21           
         78  traj.phase0.states:v_78        c    -1.000000E+21     3.333333E-01     1.000000E+21           
         79  traj.phase0.states:v_79        c    -1.000000E+21     3.333333E-01     1.000000E+21           
         80  traj.phase0.states:v_80        c    -1.000000E+21     3.214983E-01     1.000000E+21           
         81  traj.phase0.states:v_81        c    -1.000000E+21     3.051684E-01     1.000000E+21           
         82  traj.phase0.states:v_82        c    -1.000000E+21     3.000000E-01     1.000000E+21           
         83  traj.phase0.states:v_83        c    -1.000000E+21     3.000000E-01     1.000000E+21           
         84  traj.phase0.states:v_84        c    -1.000000E+21     2.881650E-01     1.000000E+21           
         85  traj.phase0.states:v_85        c    -1.000000E+21     2.718350E-01     1.000000E+21           
         86  traj.phase0.states:v_86        c    -1.000000E+21     2.666667E-01     1.000000E+21           
         87  traj.phase0.states:v_87        c    -1.000000E+21     2.666667E-01     1.000000E+21           
         88  traj.phase0.states:v_88        c    -1.000000E+21     2.548316E-01     1.000000E+21           
         89  traj.phase0.states:v_89        c    -1.000000E+21     2.385017E-01     1.000000E+21           
         90  traj.phase0.states:v_90        c    -1.000000E+21     2.333333E-01     1.000000E+21           
         91  traj.phase0.states:v_91        c    -1.000000E+21     2.333333E-01     1.000000E+21           
         92  traj.phase0.states:v_92        c    -1.000000E+21     2.214983E-01     1.000000E+21           
         93  traj.phase0.states:v_93        c    -1.000000E+21     2.051684E-01     1.000000E+21           
         94  traj.phase0.states:v_94        c    -1.000000E+21     2.000000E-01     1.000000E+21           
         95  traj.phase0.states:v_95        c    -1.000000E+21     2.000000E-01     1.000000E+21           
         96  traj.phase0.states:v_96        c    -1.000000E+21     1.881650E-01     1.000000E+21           
         97  traj.phase0.states:v_97        c    -1.000000E+21     1.718350E-01     1.000000E+21           
         98  traj.phase0.states:v_98        c    -1.000000E+21     1.666667E-01     1.000000E+21           
         99  traj.phase0.states:v_99        c    -1.000000E+21     1.666667E-01     1.000000E+21           
        100  traj.phase0.states:v_100       c    -1.000000E+21     1.548316E-01     1.000000E+21           
        101  traj.phase0.states:v_101       c    -1.000000E+21     1.385017E-01     1.000000E+21           
        102  traj.phase0.states:v_102       c    -1.000000E+21     1.333333E-01     1.000000E+21           
        103  traj.phase0.states:v_103       c    -1.000000E+21     1.333333E-01     1.000000E+21           
        104  traj.phase0.states:v_104       c    -1.000000E+21     1.214983E-01     1.000000E+21           
        105  traj.phase0.states:v_105       c    -1.000000E+21     1.051684E-01     1.000000E+21           
        106  traj.phase0.states:v_106       c    -1.000000E+21     1.000000E-01     1.000000E+21           
        107  traj.phase0.states:v_107       c    -1.000000E+21     1.000000E-01     1.000000E+21           
        108  traj.phase0.states:v_108       c    -1.000000E+21     8.816497E-02     1.000000E+21           
        109  traj.phase0.states:v_109       c    -1.000000E+21     7.183503E-02     1.000000E+21           
        110  traj.phase0.states:v_110       c    -1.000000E+21     6.666667E-02     1.000000E+21           
        111  traj.phase0.states:v_111       c    -1.000000E+21     6.666667E-02     1.000000E+21           
        112  traj.phase0.states:v_112       c    -1.000000E+21     5.483163E-02     1.000000E+21           
        113  traj.phase0.states:v_113       c    -1.000000E+21     3.850170E-02     1.000000E+21           
        114  traj.phase0.states:v_114       c    -1.000000E+21     3.333333E-02     1.000000E+21           
        115  traj.phase0.states:v_115       c    -1.000000E+21     3.333333E-02     1.000000E+21           
        116  traj.phase0.states:v_116       c    -1.000000E+21     2.149830E-02     1.000000E+21           
        117  traj.phase0.states:v_117       c    -1.000000E+21     5.168368E-03     1.000000E+21           
        118  traj.phase0.states:x_0         c    -1.000000E+21     7.003402E-05     1.000000E+21           
        119  traj.phase0.states:x_1         c    -1.000000E+21     3.966326E-04     1.000000E+21           
        120  traj.phase0.states:x_2         c    -1.000000E+21     5.555556E-04     1.000000E+21           
        121  traj.phase0.states:x_3         c    -1.000000E+21     5.555556E-04     1.000000E+21           
        122  traj.phase0.states:x_4         c    -1.000000E+21     1.020091E-03     1.000000E+21           
        123  traj.phase0.states:x_5         c    -1.000000E+21     1.891020E-03     1.000000E+21           
        124  traj.phase0.states:x_6         c    -1.000000E+21     2.222222E-03     1.000000E+21           
        125  traj.phase0.states:x_7         c    -1.000000E+21     2.222222E-03     1.000000E+21           
        126  traj.phase0.states:x_8         c    -1.000000E+21     3.081259E-03     1.000000E+21           
        127  traj.phase0.states:x_9         c    -1.000000E+21     4.496519E-03     1.000000E+21           
        128  traj.phase0.states:x_10        c    -1.000000E+21     5.000000E-03     1.000000E+21           
        129  traj.phase0.states:x_11        c    -1.000000E+21     5.000000E-03     1.000000E+21           
        130  traj.phase0.states:x_12        c    -1.000000E+21     6.253537E-03     1.000000E+21           
        131  traj.phase0.states:x_13        c    -1.000000E+21     8.213129E-03     1.000000E+21           
        132  traj.phase0.states:x_14        c    -1.000000E+21     8.888889E-03     1.000000E+21           
        133  traj.phase0.states:x_15        c    -1.000000E+21     8.888889E-03     1.000000E+21           
        134  traj.phase0.states:x_16        c    -1.000000E+21     1.053693E-02     1.000000E+21           
        135  traj.phase0.states:x_17        c    -1.000000E+21     1.304085E-02     1.000000E+21           
        136  traj.phase0.states:x_18        c    -1.000000E+21     1.388889E-02     1.000000E+21           
        137  traj.phase0.states:x_19        c    -1.000000E+21     1.388889E-02     1.000000E+21           
        138  traj.phase0.states:x_20        c    -1.000000E+21     1.593143E-02     1.000000E+21           
        139  traj.phase0.states:x_21        c    -1.000000E+21     1.897968E-02     1.000000E+21           
        140  traj.phase0.states:x_22        c    -1.000000E+21     2.000000E-02     1.000000E+21           
        141  traj.phase0.states:x_23        c    -1.000000E+21     2.000000E-02     1.000000E+21           
        142  traj.phase0.states:x_24        c    -1.000000E+21     2.243704E-02     1.000000E+21           
        143  traj.phase0.states:x_25        c    -1.000000E+21     2.602963E-02     1.000000E+21           
        144  traj.phase0.states:x_26        c    -1.000000E+21     2.722222E-02     1.000000E+21           
        145  traj.phase0.states:x_27        c    -1.000000E+21     2.722222E-02     1.000000E+21           
        146  traj.phase0.states:x_28        c    -1.000000E+21     3.005376E-02     1.000000E+21           
        147  traj.phase0.states:x_29        c    -1.000000E+21     3.419068E-02     1.000000E+21           
        148  traj.phase0.states:x_30        c    -1.000000E+21     3.555556E-02     1.000000E+21           
        149  traj.phase0.states:x_31        c    -1.000000E+21     3.555556E-02     1.000000E+21           
        150  traj.phase0.states:x_32        c    -1.000000E+21     3.878160E-02     1.000000E+21           
        151  traj.phase0.states:x_33        c    -1.000000E+21     4.346285E-02     1.000000E+21           
        152  traj.phase0.states:x_34        c    -1.000000E+21     4.500000E-02     1.000000E+21           
        153  traj.phase0.states:x_35        c    -1.000000E+21     4.500000E-02     1.000000E+21           
        154  traj.phase0.states:x_36        c    -1.000000E+21     4.862054E-02     1.000000E+21           
        155  traj.phase0.states:x_37        c    -1.000000E+21     5.384612E-02     1.000000E+21           
        156  traj.phase0.states:x_38        c    -1.000000E+21     5.555556E-02     1.000000E+21           
        157  traj.phase0.states:x_39        c    -1.000000E+21     5.555556E-02     1.000000E+21           
        158  traj.phase0.states:x_40        c    -1.000000E+21     5.957060E-02     1.000000E+21           
        159  traj.phase0.states:x_41        c    -1.000000E+21     6.534051E-02     1.000000E+21           
        160  traj.phase0.states:x_42        c    -1.000000E+21     6.722222E-02     1.000000E+21           
        161  traj.phase0.states:x_43        c    -1.000000E+21     6.722222E-02     1.000000E+21           
        162  traj.phase0.states:x_44        c    -1.000000E+21     7.163177E-02     1.000000E+21           
        163  traj.phase0.states:x_45        c    -1.000000E+21     7.794601E-02     1.000000E+21           
        164  traj.phase0.states:x_46        c    -1.000000E+21     8.000000E-02     1.000000E+21           
        165  traj.phase0.states:x_47        c    -1.000000E+21     8.000000E-02     1.000000E+21           
        166  traj.phase0.states:x_48        c    -1.000000E+21     8.480405E-02     1.000000E+21           
        167  traj.phase0.states:x_49        c    -1.000000E+21     9.166262E-02     1.000000E+21           
        168  traj.phase0.states:x_50        c    -1.000000E+21     9.388889E-02     1.000000E+21           
        169  traj.phase0.states:x_51        c    -1.000000E+21     9.388889E-02     1.000000E+21           
        170  traj.phase0.states:x_52        c    -1.000000E+21     9.908744E-02     1.000000E+21           
        171  traj.phase0.states:x_53        c    -1.000000E+21     1.064903E-01     1.000000E+21           
        172  traj.phase0.states:x_54        c    -1.000000E+21     1.088889E-01     1.000000E+21           
        173  traj.phase0.states:x_55        c    -1.000000E+21     1.088889E-01     1.000000E+21           
        174  traj.phase0.states:x_56        c    -1.000000E+21     1.144819E-01     1.000000E+21           
        175  traj.phase0.states:x_57        c    -1.000000E+21     1.224292E-01     1.000000E+21           
        176  traj.phase0.states:x_58        c    -1.000000E+21     1.250000E-01     1.000000E+21           
        177  traj.phase0.states:x_59        c    -1.000000E+21     1.250000E-01     1.000000E+21           
        178  traj.phase0.states:x_60        c    -1.000000E+21     1.308475E-01     1.000000E+21           
        179  traj.phase0.states:x_61        c    -1.000000E+21     1.386859E-01     1.000000E+21           
        180  traj.phase0.states:x_62        c    -1.000000E+21     1.411111E-01     1.000000E+21           
        181  traj.phase0.states:x_63        c    -1.000000E+21     1.411111E-01     1.000000E+21           
        182  traj.phase0.states:x_64        c    -1.000000E+21     1.465641E-01     1.000000E+21           
        183  traj.phase0.states:x_65        c    -1.000000E+21     1.538581E-01     1.000000E+21           
        184  traj.phase0.states:x_66        c    -1.000000E+21     1.561111E-01     1.000000E+21           
        185  traj.phase0.states:x_67        c    -1.000000E+21     1.561111E-01     1.000000E+21           
        186  traj.phase0.states:x_68        c    -1.000000E+21     1.611696E-01     1.000000E+21           
        187  traj.phase0.states:x_69        c    -1.000000E+21     1.679193E-01     1.000000E+21           
        188  traj.phase0.states:x_70        c    -1.000000E+21     1.700000E-01     1.000000E+21           
        189  traj.phase0.states:x_71        c    -1.000000E+21     1.700000E-01     1.000000E+21           
        190  traj.phase0.states:x_72        c    -1.000000E+21     1.746640E-01     1.000000E+21           
        191  traj.phase0.states:x_73        c    -1.000000E+21     1.808694E-01     1.000000E+21           
        192  traj.phase0.states:x_74        c    -1.000000E+21     1.827778E-01     1.000000E+21           
        193  traj.phase0.states:x_75        c    -1.000000E+21     1.827778E-01     1.000000E+21           
        194  traj.phase0.states:x_76        c    -1.000000E+21     1.870473E-01     1.000000E+21           
        195  traj.phase0.states:x_77        c    -1.000000E+21     1.927083E-01     1.000000E+21           
        196  traj.phase0.states:x_78        c    -1.000000E+21     1.944444E-01     1.000000E+21           
        197  traj.phase0.states:x_79        c    -1.000000E+21     1.944444E-01     1.000000E+21           
        198  traj.phase0.states:x_80        c    -1.000000E+21     1.983194E-01     1.000000E+21           
        199  traj.phase0.states:x_81        c    -1.000000E+21     2.034361E-01     1.000000E+21           
        200  traj.phase0.states:x_82        c    -1.000000E+21     2.050000E-01     1.000000E+21           
        201  traj.phase0.states:x_83        c    -1.000000E+21     2.050000E-01     1.000000E+21           
        202  traj.phase0.states:x_84        c    -1.000000E+21     2.084805E-01     1.000000E+21           
        203  traj.phase0.states:x_85        c    -1.000000E+21     2.130529E-01     1.000000E+21           
        204  traj.phase0.states:x_86        c    -1.000000E+21     2.144444E-01     1.000000E+21           
        205  traj.phase0.states:x_87        c    -1.000000E+21     2.144444E-01     1.000000E+21           
        206  traj.phase0.states:x_88        c    -1.000000E+21     2.175304E-01     1.000000E+21           
        207  traj.phase0.states:x_89        c    -1.000000E+21     2.215585E-01     1.000000E+21           
        208  traj.phase0.states:x_90        c    -1.000000E+21     2.227778E-01     1.000000E+21           
        209  traj.phase0.states:x_91        c    -1.000000E+21     2.227778E-01     1.000000E+21           
        210  traj.phase0.states:x_92        c    -1.000000E+21     2.254693E-01     1.000000E+21           
        211  traj.phase0.states:x_93        c    -1.000000E+21     2.289530E-01     1.000000E+21           
        212  traj.phase0.states:x_94        c    -1.000000E+21     2.300000E-01     1.000000E+21           
        213  traj.phase0.states:x_95        c    -1.000000E+21     2.300000E-01     1.000000E+21           
        214  traj.phase0.states:x_96        c    -1.000000E+21     2.322970E-01     1.000000E+21           
        215  traj.phase0.states:x_97        c    -1.000000E+21     2.352364E-01     1.000000E+21           
        216  traj.phase0.states:x_98        c    -1.000000E+21     2.361111E-01     1.000000E+21           
        217  traj.phase0.states:x_99        c    -1.000000E+21     2.361111E-01     1.000000E+21           
        218  traj.phase0.states:x_100       c    -1.000000E+21     2.380136E-01     1.000000E+21           
        219  traj.phase0.states:x_101       c    -1.000000E+21     2.404086E-01     1.000000E+21           
        220  traj.phase0.states:x_102       c    -1.000000E+21     2.411111E-01     1.000000E+21           
        221  traj.phase0.states:x_103       c    -1.000000E+21     2.411111E-01     1.000000E+21           
        222  traj.phase0.states:x_104       c    -1.000000E+21     2.426191E-01     1.000000E+21           
        223  traj.phase0.states:x_105       c    -1.000000E+21     2.444698E-01     1.000000E+21           
        224  traj.phase0.states:x_106       c    -1.000000E+21     2.450000E-01     1.000000E+21           
        225  traj.phase0.states:x_107       c    -1.000000E+21     2.450000E-01     1.000000E+21           
        226  traj.phase0.states:x_108       c    -1.000000E+21     2.461135E-01     1.000000E+21           
        227  traj.phase0.states:x_109       c    -1.000000E+21     2.474199E-01     1.000000E+21           
        228  traj.phase0.states:x_110       c    -1.000000E+21     2.477778E-01     1.000000E+21           
        229  traj.phase0.states:x_111       c    -1.000000E+21     2.477778E-01     1.000000E+21           
        230  traj.phase0.states:x_112       c    -1.000000E+21     2.484967E-01     1.000000E+21           
        231  traj.phase0.states:x_113       c    -1.000000E+21     2.492588E-01     1.000000E+21           
        232  traj.phase0.states:x_114       c    -1.000000E+21     2.494444E-01     1.000000E+21           
        233  traj.phase0.states:x_115       c    -1.000000E+21     2.494444E-01     1.000000E+21           
        234  traj.phase0.states:x_116       c    -1.000000E+21     2.497689E-01     1.000000E+21           
        235  traj.phase0.states:x_117       c    -1.000000E+21     2.499866E-01     1.000000E+21           
        236  traj.phase0.states:x_118       c    -1.000000E+21     2.500000E-01     1.000000E+21           
        237  traj.phase0.controls:u_0       c    -1.000000E-02     1.000000E-02     1.000000E-02          u
        238  traj.phase0.controls:u_1       c    -1.000000E-02     1.000000E-02     1.000000E-02          u
        239  traj.phase0.controls:u_2       c    -1.000000E-02     1.000000E-02     1.000000E-02          u
        240  traj.phase0.controls:u_3       c    -1.000000E-02     1.000000E-02     1.000000E-02          u
        241  traj.phase0.controls:u_4       c    -1.000000E-02     1.000000E-02     1.000000E-02          u
        242  traj.phase0.controls:u_5       c    -1.000000E-02     1.000000E-02     1.000000E-02          u
        243  traj.phase0.controls:u_6       c    -1.000000E-02     1.000000E-02     1.000000E-02          u
        244  traj.phase0.controls:u_7       c    -1.000000E-02     1.000000E-02     1.000000E-02          u
        245  traj.phase0.controls:u_8       c    -1.000000E-02     1.000000E-02     1.000000E-02          u
        246  traj.phase0.controls:u_9       c    -1.000000E-02     1.000000E-02     1.000000E-02          u
        247  traj.phase0.controls:u_10      c    -1.000000E-02     1.000000E-02     1.000000E-02          u
        248  traj.phase0.controls:u_11      c    -1.000000E-02     1.000000E-02     1.000000E-02          u
        249  traj.phase0.controls:u_12      c    -1.000000E-02     1.000000E-02     1.000000E-02          u
        250  traj.phase0.controls:u_13      c    -1.000000E-02     1.000000E-02     1.000000E-02          u
        251  traj.phase0.controls:u_14      c    -1.000000E-02     1.000000E-02     1.000000E-02          u
        252  traj.phase0.controls:u_15      c    -1.000000E-02     1.000000E-02     1.000000E-02          u
        253  traj.phase0.controls:u_16      c    -1.000000E-02     1.000000E-02     1.000000E-02          u
        254  traj.phase0.controls:u_17      c    -1.000000E-02     1.000000E-02     1.000000E-02          u
        255  traj.phase0.controls:u_18      c    -1.000000E-02     1.000000E-02     1.000000E-02          u
        256  traj.phase0.controls:u_19      c    -1.000000E-02     1.000000E-02     1.000000E-02          u
        257  traj.phase0.controls:u_20      c    -1.000000E-02     1.000000E-02     1.000000E-02          u
        258  traj.phase0.controls:u_21      c    -1.000000E-02     1.000000E-02     1.000000E-02          u
        259  traj.phase0.controls:u_22      c    -1.000000E-02     1.000000E-02     1.000000E-02          u
        260  traj.phase0.controls:u_23      c    -1.000000E-02     1.000000E-02     1.000000E-02          u
        261  traj.phase0.controls:u_24      c    -1.000000E-02     1.000000E-02     1.000000E-02          u
        262  traj.phase0.controls:u_25      c    -1.000000E-02     1.000000E-02     1.000000E-02          u
        263  traj.phase0.controls:u_26      c    -1.000000E-02     1.000000E-02     1.000000E-02          u
        264  traj.phase0.controls:u_27      c    -1.000000E-02     1.000000E-02     1.000000E-02          u
        265  traj.phase0.controls:u_28      c    -1.000000E-02     1.000000E-02     1.000000E-02          u
        266  traj.phase0.controls:u_29      c    -1.000000E-02     1.000000E-02     1.000000E-02          u
        267  traj.phase0.controls:u_30      c    -1.000000E-02     1.000000E-02     1.000000E-02          u
        268  traj.phase0.controls:u_31      c    -1.000000E-02     1.000000E-02     1.000000E-02          u
        269  traj.phase0.controls:u_32      c    -1.000000E-02     1.000000E-02     1.000000E-02          u
        270  traj.phase0.controls:u_33      c    -1.000000E-02     1.000000E-02     1.000000E-02          u
        271  traj.phase0.controls:u_34      c    -1.000000E-02     1.000000E-02     1.000000E-02          u
        272  traj.phase0.controls:u_35      c    -1.000000E-02     1.000000E-02     1.000000E-02          u
        273  traj.phase0.controls:u_36      c    -1.000000E-02     1.000000E-02     1.000000E-02          u
        274  traj.phase0.controls:u_37      c    -1.000000E-02     1.000000E-02     1.000000E-02          u
        275  traj.phase0.controls:u_38      c    -1.000000E-02     1.000000E-02     1.000000E-02          u
        276  traj.phase0.controls:u_39      c    -1.000000E-02     1.000000E-02     1.000000E-02          u
        277  traj.phase0.controls:u_40      c    -1.000000E-02     1.000000E-02     1.000000E-02          u
        278  traj.phase0.controls:u_41      c    -1.000000E-02     1.000000E-02     1.000000E-02          u
        279  traj.phase0.controls:u_42      c    -1.000000E-02     1.000000E-02     1.000000E-02          u
        280  traj.phase0.controls:u_43      c    -1.000000E-02     1.000000E-02     1.000000E-02          u
        281  traj.phase0.controls:u_44      c    -1.000000E-02     1.000000E-02     1.000000E-02          u
        282  traj.phase0.controls:u_45      c    -1.000000E-02    -1.000000E-02     1.000000E-02          l
        283  traj.phase0.controls:u_46      c    -1.000000E-02    -1.000000E-02     1.000000E-02          l
        284  traj.phase0.controls:u_47      c    -1.000000E-02    -1.000000E-02     1.000000E-02          l
        285  traj.phase0.controls:u_48      c    -1.000000E-02    -1.000000E-02     1.000000E-02          l
        286  traj.phase0.controls:u_49      c    -1.000000E-02    -1.000000E-02     1.000000E-02          l
        287  traj.phase0.controls:u_50      c    -1.000000E-02    -1.000000E-02     1.000000E-02          l
        288  traj.phase0.controls:u_51      c    -1.000000E-02    -1.000000E-02     1.000000E-02          l
        289  traj.phase0.controls:u_52      c    -1.000000E-02    -1.000000E-02     1.000000E-02          l
        290  traj.phase0.controls:u_53      c    -1.000000E-02    -1.000000E-02     1.000000E-02          l
        291  traj.phase0.controls:u_54      c    -1.000000E-02    -1.000000E-02     1.000000E-02          l
        292  traj.phase0.controls:u_55      c    -1.000000E-02    -1.000000E-02     1.000000E-02          l
        293  traj.phase0.controls:u_56      c    -1.000000E-02    -1.000000E-02     1.000000E-02          l
        294  traj.phase0.controls:u_57      c    -1.000000E-02    -1.000000E-02     1.000000E-02          l
        295  traj.phase0.controls:u_58      c    -1.000000E-02    -1.000000E-02     1.000000E-02          l
        296  traj.phase0.controls:u_59      c    -1.000000E-02    -1.000000E-02     1.000000E-02          l
        297  traj.phase0.controls:u_60      c    -1.000000E-02    -1.000000E-02     1.000000E-02          l
        298  traj.phase0.controls:u_61      c    -1.000000E-02    -1.000000E-02     1.000000E-02          l
        299  traj.phase0.controls:u_62      c    -1.000000E-02    -1.000000E-02     1.000000E-02          l
        300  traj.phase0.controls:u_63      c    -1.000000E-02    -1.000000E-02     1.000000E-02          l
        301  traj.phase0.controls:u_64      c    -1.000000E-02    -1.000000E-02     1.000000E-02          l
        302  traj.phase0.controls:u_65      c    -1.000000E-02    -1.000000E-02     1.000000E-02          l
        303  traj.phase0.controls:u_66      c    -1.000000E-02    -1.000000E-02     1.000000E-02          l
        304  traj.phase0.controls:u_67      c    -1.000000E-02    -1.000000E-02     1.000000E-02          l
        305  traj.phase0.controls:u_68      c    -1.000000E-02    -1.000000E-02     1.000000E-02          l
        306  traj.phase0.controls:u_69      c    -1.000000E-02    -1.000000E-02     1.000000E-02          l
        307  traj.phase0.controls:u_70      c    -1.000000E-02    -1.000000E-02     1.000000E-02          l
        308  traj.phase0.controls:u_71      c    -1.000000E-02    -1.000000E-02     1.000000E-02          l
        309  traj.phase0.controls:u_72      c    -1.000000E-02    -1.000000E-02     1.000000E-02          l
        310  traj.phase0.controls:u_73      c    -1.000000E-02    -1.000000E-02     1.000000E-02          l
        311  traj.phase0.controls:u_74      c    -1.000000E-02    -1.000000E-02     1.000000E-02          l
        312  traj.phase0.controls:u_75      c    -1.000000E-02    -1.000000E-02     1.000000E-02          l
        313  traj.phase0.controls:u_76      c    -1.000000E-02    -1.000000E-02     1.000000E-02          l
        314  traj.phase0.controls:u_77      c    -1.000000E-02    -1.000000E-02     1.000000E-02          l
        315  traj.phase0.controls:u_78      c    -1.000000E-02    -1.000000E-02     1.000000E-02          l
        316  traj.phase0.controls:u_79      c    -1.000000E-02    -1.000000E-02     1.000000E-02          l
        317  traj.phase0.controls:u_80      c    -1.000000E-02    -1.000000E-02     1.000000E-02          l
        318  traj.phase0.controls:u_81      c    -1.000000E-02    -1.000000E-02     1.000000E-02          l
        319  traj.phase0.controls:u_82      c    -1.000000E-02    -1.000000E-02     1.000000E-02          l
        320  traj.phase0.controls:u_83      c    -1.000000E-02    -1.000000E-02     1.000000E-02          l
        321  traj.phase0.controls:u_84      c    -1.000000E-02    -1.000000E-02     1.000000E-02          l
        322  traj.phase0.controls:u_85      c    -1.000000E-02    -1.000000E-02     1.000000E-02          l
        323  traj.phase0.controls:u_86      c    -1.000000E-02    -1.000000E-02     1.000000E-02          l
        324  traj.phase0.controls:u_87      c    -1.000000E-02    -1.000000E-02     1.000000E-02          l
        325  traj.phase0.controls:u_88      c    -1.000000E-02    -1.000000E-02     1.000000E-02          l
        326  traj.phase0.controls:u_89      c    -1.000000E-02    -1.000000E-02     1.000000E-02          l
   Constraints (i - inequality, e - equality)
      Index  Name                                         Type          Lower           Value           Upper    Status  Lagrange Multiplier (N/A)
          0  traj.phase0.collocation_constraint.defects:v    e   0.000000E+00   -7.401487E-18    0.000000E+00              9.00000E+100
          1  traj.phase0.collocation_constraint.defects:v    e   0.000000E+00    2.627528E-16    0.000000E+00              9.00000E+100
          2  traj.phase0.collocation_constraint.defects:v    e   0.000000E+00    1.850372E-18    0.000000E+00              9.00000E+100
          3  traj.phase0.collocation_constraint.defects:v    e   0.000000E+00    4.070818E-17    0.000000E+00              9.00000E+100
          4  traj.phase0.collocation_constraint.defects:v    e   0.000000E+00    1.480297E-17    0.000000E+00              9.00000E+100
          5  traj.phase0.collocation_constraint.defects:v    e   0.000000E+00    6.420790E-16    0.000000E+00              9.00000E+100
          6  traj.phase0.collocation_constraint.defects:v    e   0.000000E+00    3.071617E-16    0.000000E+00              9.00000E+100
          7  traj.phase0.collocation_constraint.defects:v    e   0.000000E+00   -7.401487E-18    0.000000E+00              9.00000E+100
          8  traj.phase0.collocation_constraint.defects:v    e   0.000000E+00    1.850372E-18    0.000000E+00              9.00000E+100
          9  traj.phase0.collocation_constraint.defects:v    e   0.000000E+00    2.590520E-17    0.000000E+00              9.00000E+100
         10  traj.phase0.collocation_constraint.defects:v    e   0.000000E+00   -3.330669E-17    0.000000E+00              9.00000E+100
         11  traj.phase0.collocation_constraint.defects:v    e   0.000000E+00    5.736152E-17    0.000000E+00              9.00000E+100
         12  traj.phase0.collocation_constraint.defects:v    e   0.000000E+00    2.775558E-16    0.000000E+00              9.00000E+100
         13  traj.phase0.collocation_constraint.defects:v    e   0.000000E+00    3.700743E-17    0.000000E+00              9.00000E+100
         14  traj.phase0.collocation_constraint.defects:v    e   0.000000E+00    2.794061E-16    0.000000E+00              9.00000E+100
         15  traj.phase0.collocation_constraint.defects:v    e   0.000000E+00    1.924387E-16    0.000000E+00              9.00000E+100
         16  traj.phase0.collocation_constraint.defects:v    e   0.000000E+00   -1.850372E-18    0.000000E+00              9.00000E+100
         17  traj.phase0.collocation_constraint.defects:v    e   0.000000E+00    4.163336E-16    0.000000E+00              9.00000E+100
         18  traj.phase0.collocation_constraint.defects:v    e   0.000000E+00   -1.110223E-16    0.000000E+00              9.00000E+100
         19  traj.phase0.collocation_constraint.defects:v    e   0.000000E+00    8.511710E-17    0.000000E+00              9.00000E+100
         20  traj.phase0.collocation_constraint.defects:v    e   0.000000E+00   -1.665335E-17    0.000000E+00              9.00000E+100
         21  traj.phase0.collocation_constraint.defects:v    e   0.000000E+00    1.665335E-16    0.000000E+00              9.00000E+100
         22  traj.phase0.collocation_constraint.defects:v    e   0.000000E+00    5.736152E-17    0.000000E+00              9.00000E+100
         23  traj.phase0.collocation_constraint.defects:v    e   0.000000E+00    3.904284E-16    0.000000E+00              9.00000E+100
         24  traj.phase0.collocation_constraint.defects:v    e   0.000000E+00    7.586524E-17    0.000000E+00              9.00000E+100
         25  traj.phase0.collocation_constraint.defects:v    e   0.000000E+00    5.551115E-17    0.000000E+00              9.00000E+100
         26  traj.phase0.collocation_constraint.defects:v    e   0.000000E+00    5.736152E-17    0.000000E+00              9.00000E+100
         27  traj.phase0.collocation_constraint.defects:v    e   0.000000E+00    2.775558E-16    0.000000E+00              9.00000E+100
         28  traj.phase0.collocation_constraint.defects:v    e   0.000000E+00    4.996004E-17    0.000000E+00              9.00000E+100
         29  traj.phase0.collocation_constraint.defects:v    e   0.000000E+00   -5.366078E-17    0.000000E+00              9.00000E+100
         30  traj.phase0.collocation_constraint.defects:v    e   0.000000E+00    1.665335E-16    0.000000E+00              9.00000E+100
         31  traj.phase0.collocation_constraint.defects:v    e   0.000000E+00    5.551115E-17    0.000000E+00              9.00000E+100
         32  traj.phase0.collocation_constraint.defects:v    e   0.000000E+00    3.904284E-16    0.000000E+00              9.00000E+100
         33  traj.phase0.collocation_constraint.defects:v    e   0.000000E+00   -6.476301E-17    0.000000E+00              9.00000E+100
         34  traj.phase0.collocation_constraint.defects:v    e   0.000000E+00   -2.775558E-17    0.000000E+00              9.00000E+100
         35  traj.phase0.collocation_constraint.defects:v    e   0.000000E+00    3.608225E-16    0.000000E+00              9.00000E+100
         36  traj.phase0.collocation_constraint.defects:v    e   0.000000E+00    1.665335E-16    0.000000E+00              9.00000E+100
         37  traj.phase0.collocation_constraint.defects:v    e   0.000000E+00    1.110223E-16    0.000000E+00              9.00000E+100
         38  traj.phase0.collocation_constraint.defects:v    e   0.000000E+00   -1.628327E-16    0.000000E+00              9.00000E+100
         39  traj.phase0.collocation_constraint.defects:v    e   0.000000E+00    1.665335E-16    0.000000E+00              9.00000E+100
         40  traj.phase0.collocation_constraint.defects:v    e   0.000000E+00    2.775558E-16    0.000000E+00              9.00000E+100
         41  traj.phase0.collocation_constraint.defects:v    e   0.000000E+00   -5.551115E-18    0.000000E+00              9.00000E+100
         42  traj.phase0.collocation_constraint.defects:v    e   0.000000E+00   -1.110223E-16    0.000000E+00              9.00000E+100
         43  traj.phase0.collocation_constraint.defects:v    e   0.000000E+00    1.110223E-16    0.000000E+00              9.00000E+100
         44  traj.phase0.collocation_constraint.defects:v    e   0.000000E+00    3.904284E-16    0.000000E+00              9.00000E+100
         45  traj.phase0.collocation_constraint.defects:v    e   0.000000E+00    1.535809E-16    0.000000E+00              9.00000E+100
         46  traj.phase0.collocation_constraint.defects:v    e   0.000000E+00   -2.220446E-16    0.000000E+00              9.00000E+100
         47  traj.phase0.collocation_constraint.defects:v    e   0.000000E+00    2.035409E-16    0.000000E+00              9.00000E+100
         48  traj.phase0.collocation_constraint.defects:v    e   0.000000E+00    9.436896E-17    0.000000E+00              9.00000E+100
         49  traj.phase0.collocation_constraint.defects:v    e   0.000000E+00   -3.330669E-16    0.000000E+00              9.00000E+100
         50  traj.phase0.collocation_constraint.defects:v    e   0.000000E+00   -8.141636E-17    0.000000E+00              9.00000E+100
         51  traj.phase0.collocation_constraint.defects:v    e   0.000000E+00    1.665335E-16    0.000000E+00              9.00000E+100
         52  traj.phase0.collocation_constraint.defects:v    e   0.000000E+00   -1.110223E-16    0.000000E+00              9.00000E+100
         53  traj.phase0.collocation_constraint.defects:v    e   0.000000E+00   -1.683838E-16    0.000000E+00              9.00000E+100
         54  traj.phase0.collocation_constraint.defects:v    e   0.000000E+00   -9.436896E-17    0.000000E+00              9.00000E+100
         55  traj.phase0.collocation_constraint.defects:v    e   0.000000E+00   -1.110223E-16    0.000000E+00              9.00000E+100
         56  traj.phase0.collocation_constraint.defects:v    e   0.000000E+00   -2.794061E-16    0.000000E+00              9.00000E+100
         57  traj.phase0.collocation_constraint.defects:v    e   0.000000E+00   -2.220446E-16    0.000000E+00              9.00000E+100
         58  traj.phase0.collocation_constraint.defects:v    e   0.000000E+00   -3.885781E-16    0.000000E+00              9.00000E+100
         59  traj.phase0.collocation_constraint.defects:v    e   0.000000E+00   -1.295260E-17    0.000000E+00              9.00000E+100
         60  traj.phase0.collocation_constraint.defects:v    e   0.000000E+00   -6.106227E-16    0.000000E+00              9.00000E+100
         61  traj.phase0.collocation_constraint.defects:v    e   0.000000E+00   -5.551115E-17    0.000000E+00              9.00000E+100
         62  traj.phase0.collocation_constraint.defects:v    e   0.000000E+00    5.366078E-17    0.000000E+00              9.00000E+100
         63  traj.phase0.collocation_constraint.defects:v    e   0.000000E+00   -6.106227E-16    0.000000E+00              9.00000E+100
         64  traj.phase0.collocation_constraint.defects:v    e   0.000000E+00   -3.145632E-17    0.000000E+00              9.00000E+100
         65  traj.phase0.collocation_constraint.defects:v    e   0.000000E+00   -2.794061E-16    0.000000E+00              9.00000E+100
         66  traj.phase0.collocation_constraint.defects:v    e   0.000000E+00    7.216450E-17    0.000000E+00              9.00000E+100
         67  traj.phase0.collocation_constraint.defects:v    e   0.000000E+00   -3.885781E-17    0.000000E+00              9.00000E+100
         68  traj.phase0.collocation_constraint.defects:v    e   0.000000E+00   -1.850372E-18    0.000000E+00              9.00000E+100
         69  traj.phase0.collocation_constraint.defects:v    e   0.000000E+00   -3.515706E-17    0.000000E+00              9.00000E+100
         70  traj.phase0.collocation_constraint.defects:v    e   0.000000E+00   -2.035409E-17    0.000000E+00              9.00000E+100
         71  traj.phase0.collocation_constraint.defects:v    e   0.000000E+00    1.128727E-16    0.000000E+00              9.00000E+100
         72  traj.phase0.collocation_constraint.defects:v    e   0.000000E+00   -7.031412E-17    0.000000E+00              9.00000E+100
         73  traj.phase0.collocation_constraint.defects:v    e   0.000000E+00   -2.960595E-17    0.000000E+00              9.00000E+100
         74  traj.phase0.collocation_constraint.defects:v    e   0.000000E+00   -1.683838E-16    0.000000E+00              9.00000E+100
         75  traj.phase0.collocation_constraint.defects:v    e   0.000000E+00   -2.220446E-16    0.000000E+00              9.00000E+100
         76  traj.phase0.collocation_constraint.defects:v    e   0.000000E+00    5.366078E-17    0.000000E+00              9.00000E+100
         77  traj.phase0.collocation_constraint.defects:v    e   0.000000E+00   -5.736152E-17    0.000000E+00              9.00000E+100
         78  traj.phase0.collocation_constraint.defects:v    e   0.000000E+00   -1.406282E-16    0.000000E+00              9.00000E+100
         79  traj.phase0.collocation_constraint.defects:v    e   0.000000E+00    2.405483E-17    0.000000E+00              9.00000E+100
         80  traj.phase0.collocation_constraint.defects:v    e   0.000000E+00   -3.145632E-17    0.000000E+00              9.00000E+100
         81  traj.phase0.collocation_constraint.defects:v    e   0.000000E+00    0.000000E+00    0.000000E+00              9.00000E+100
         82  traj.phase0.collocation_constraint.defects:v    e   0.000000E+00   -7.401487E-18    0.000000E+00              9.00000E+100
         83  traj.phase0.collocation_constraint.defects:v    e   0.000000E+00   -3.090121E-16    0.000000E+00              9.00000E+100
         84  traj.phase0.collocation_constraint.defects:v    e   0.000000E+00   -3.515706E-17    0.000000E+00              9.00000E+100
         85  traj.phase0.collocation_constraint.defects:v    e   0.000000E+00    1.850372E-17    0.000000E+00              9.00000E+100
         86  traj.phase0.collocation_constraint.defects:v    e   0.000000E+00   -1.128727E-16    0.000000E+00              9.00000E+100
         87  traj.phase0.collocation_constraint.defects:v    e   0.000000E+00    0.000000E+00    0.000000E+00              9.00000E+100
         88  traj.phase0.collocation_constraint.defects:v    e   0.000000E+00   -1.998401E-16    0.000000E+00              9.00000E+100
         89  traj.phase0.collocation_constraint.defects:v    e   0.000000E+00   -5.551115E-18    0.000000E+00              9.00000E+100
         90  traj.phase0.collocation_constraint.defects:x    e   0.000000E+00   -1.084202E-19    0.000000E+00              9.00000E+100
         91  traj.phase0.collocation_constraint.defects:x    e   0.000000E+00   -5.782412E-20    0.000000E+00              9.00000E+100
         92  traj.phase0.collocation_constraint.defects:x    e   0.000000E+00   -5.782412E-20    0.000000E+00              9.00000E+100
         93  traj.phase0.collocation_constraint.defects:x    e   0.000000E+00    1.040834E-18    0.000000E+00              9.00000E+100
         94  traj.phase0.collocation_constraint.defects:x    e   0.000000E+00    5.782412E-19    0.000000E+00              9.00000E+100
         95  traj.phase0.collocation_constraint.defects:x    e   0.000000E+00    5.782412E-19    0.000000E+00              9.00000E+100
         96  traj.phase0.collocation_constraint.defects:x    e   0.000000E+00   -2.312965E-19    0.000000E+00              9.00000E+100
         97  traj.phase0.collocation_constraint.defects:x    e   0.000000E+00   -2.312965E-19    0.000000E+00              9.00000E+100
         98  traj.phase0.collocation_constraint.defects:x    e   0.000000E+00   -1.387779E-18    0.000000E+00              9.00000E+100
         99  traj.phase0.collocation_constraint.defects:x    e   0.000000E+00    0.000000E+00    0.000000E+00              9.00000E+100
        100  traj.phase0.collocation_constraint.defects:x    e   0.000000E+00    1.387779E-18    0.000000E+00              9.00000E+100
        101  traj.phase0.collocation_constraint.defects:x    e   0.000000E+00    2.775558E-18    0.000000E+00              9.00000E+100
        102  traj.phase0.collocation_constraint.defects:x    e   0.000000E+00   -9.251859E-19    0.000000E+00              9.00000E+100
        103  traj.phase0.collocation_constraint.defects:x    e   0.000000E+00    4.625929E-19    0.000000E+00              9.00000E+100
        104  traj.phase0.collocation_constraint.defects:x    e   0.000000E+00    4.625929E-18    0.000000E+00              9.00000E+100
        105  traj.phase0.collocation_constraint.defects:x    e   0.000000E+00   -2.312965E-18    0.000000E+00              9.00000E+100
        106  traj.phase0.collocation_constraint.defects:x    e   0.000000E+00    4.625929E-18    0.000000E+00              9.00000E+100
        107  traj.phase0.collocation_constraint.defects:x    e   0.000000E+00   -1.850372E-18    0.000000E+00              9.00000E+100
        108  traj.phase0.collocation_constraint.defects:x    e   0.000000E+00    4.163336E-18    0.000000E+00              9.00000E+100
        109  traj.phase0.collocation_constraint.defects:x    e   0.000000E+00   -4.625929E-19    0.000000E+00              9.00000E+100
        110  traj.phase0.collocation_constraint.defects:x    e   0.000000E+00    7.401487E-18    0.000000E+00              9.00000E+100
        111  traj.phase0.collocation_constraint.defects:x    e   0.000000E+00   -4.625929E-18    0.000000E+00              9.00000E+100
        112  traj.phase0.collocation_constraint.defects:x    e   0.000000E+00   -3.700743E-18    0.000000E+00              9.00000E+100
        113  traj.phase0.collocation_constraint.defects:x    e   0.000000E+00    1.295260E-17    0.000000E+00              9.00000E+100
        114  traj.phase0.collocation_constraint.defects:x    e   0.000000E+00   -1.387779E-17    0.000000E+00              9.00000E+100
        115  traj.phase0.collocation_constraint.defects:x    e   0.000000E+00    1.665335E-17    0.000000E+00              9.00000E+100
        116  traj.phase0.collocation_constraint.defects:x    e   0.000000E+00   -9.251859E-19    0.000000E+00              9.00000E+100
        117  traj.phase0.collocation_constraint.defects:x    e   0.000000E+00   -1.110223E-17    0.000000E+00              9.00000E+100
        118  traj.phase0.collocation_constraint.defects:x    e   0.000000E+00   -1.850372E-18    0.000000E+00              9.00000E+100
        119  traj.phase0.collocation_constraint.defects:x    e   0.000000E+00    4.625929E-18    0.000000E+00              9.00000E+100
        120  traj.phase0.collocation_constraint.defects:x    e   0.000000E+00   -5.551115E-18    0.000000E+00              9.00000E+100
        121  traj.phase0.collocation_constraint.defects:x    e   0.000000E+00    1.017704E-17    0.000000E+00              9.00000E+100
        122  traj.phase0.collocation_constraint.defects:x    e   0.000000E+00    3.238150E-17    0.000000E+00              9.00000E+100
        123  traj.phase0.collocation_constraint.defects:x    e   0.000000E+00   -1.757853E-17    0.000000E+00              9.00000E+100
        124  traj.phase0.collocation_constraint.defects:x    e   0.000000E+00   -6.476301E-18    0.000000E+00              9.00000E+100
        125  traj.phase0.collocation_constraint.defects:x    e   0.000000E+00    2.312965E-17    0.000000E+00              9.00000E+100
        126  traj.phase0.collocation_constraint.defects:x    e   0.000000E+00   -5.551115E-18    0.000000E+00              9.00000E+100
        127  traj.phase0.collocation_constraint.defects:x    e   0.000000E+00    1.665335E-17    0.000000E+00              9.00000E+100
        128  traj.phase0.collocation_constraint.defects:x    e   0.000000E+00    3.608225E-17    0.000000E+00              9.00000E+100
        129  traj.phase0.collocation_constraint.defects:x    e   0.000000E+00    5.551115E-17    0.000000E+00              9.00000E+100
        130  traj.phase0.collocation_constraint.defects:x    e   0.000000E+00   -6.476301E-18    0.000000E+00              9.00000E+100
        131  traj.phase0.collocation_constraint.defects:x    e   0.000000E+00    1.295260E-17    0.000000E+00              9.00000E+100
        132  traj.phase0.collocation_constraint.defects:x    e   0.000000E+00   -1.600572E-16    0.000000E+00              9.00000E+100
        133  traj.phase0.collocation_constraint.defects:x    e   0.000000E+00    2.775558E-18    0.000000E+00              9.00000E+100
        134  traj.phase0.collocation_constraint.defects:x    e   0.000000E+00   -6.476301E-17    0.000000E+00              9.00000E+100
        135  traj.phase0.collocation_constraint.defects:x    e   0.000000E+00    9.159340E-17    0.000000E+00              9.00000E+100
        136  traj.phase0.collocation_constraint.defects:x    e   0.000000E+00   -2.405483E-17    0.000000E+00              9.00000E+100
        137  traj.phase0.collocation_constraint.defects:x    e   0.000000E+00    3.700743E-17    0.000000E+00              9.00000E+100
        138  traj.phase0.collocation_constraint.defects:x    e   0.000000E+00   -7.308968E-17    0.000000E+00              9.00000E+100
        139  traj.phase0.collocation_constraint.defects:x    e   0.000000E+00    3.793262E-17    0.000000E+00              9.00000E+100
        140  traj.phase0.collocation_constraint.defects:x    e   0.000000E+00    5.551115E-17    0.000000E+00              9.00000E+100
        141  traj.phase0.collocation_constraint.defects:x    e   0.000000E+00    8.326673E-18    0.000000E+00              9.00000E+100
        142  traj.phase0.collocation_constraint.defects:x    e   0.000000E+00   -4.348374E-17    0.000000E+00              9.00000E+100
        143  traj.phase0.collocation_constraint.defects:x    e   0.000000E+00   -2.868076E-17    0.000000E+00              9.00000E+100
        144  traj.phase0.collocation_constraint.defects:x    e   0.000000E+00   -7.308968E-17    0.000000E+00              9.00000E+100
        145  traj.phase0.collocation_constraint.defects:x    e   0.000000E+00   -1.850372E-17    0.000000E+00              9.00000E+100
        146  traj.phase0.collocation_constraint.defects:x    e   0.000000E+00   -2.775558E-18    0.000000E+00              9.00000E+100
        147  traj.phase0.collocation_constraint.defects:x    e   0.000000E+00    1.193490E-16    0.000000E+00              9.00000E+100
        148  traj.phase0.collocation_constraint.defects:x    e   0.000000E+00   -1.202742E-17    0.000000E+00              9.00000E+100
        149  traj.phase0.collocation_constraint.defects:x    e   0.000000E+00   -2.498002E-17    0.000000E+00              9.00000E+100
        150  traj.phase0.collocation_constraint.defects:x    e   0.000000E+00   -7.123931E-17    0.000000E+00              9.00000E+100
        151  traj.phase0.collocation_constraint.defects:x    e   0.000000E+00    1.850372E-17    0.000000E+00              9.00000E+100
        152  traj.phase0.collocation_constraint.defects:x    e   0.000000E+00    5.736152E-17    0.000000E+00              9.00000E+100
        153  traj.phase0.collocation_constraint.defects:x    e   0.000000E+00    1.230497E-16    0.000000E+00              9.00000E+100
        154  traj.phase0.collocation_constraint.defects:x    e   0.000000E+00    1.665335E-17    0.000000E+00              9.00000E+100
        155  traj.phase0.collocation_constraint.defects:x    e   0.000000E+00   -2.960595E-17    0.000000E+00              9.00000E+100
        156  traj.phase0.collocation_constraint.defects:x    e   0.000000E+00   -7.216450E-17    0.000000E+00              9.00000E+100
        157  traj.phase0.collocation_constraint.defects:x    e   0.000000E+00    1.110223E-17    0.000000E+00              9.00000E+100
        158  traj.phase0.collocation_constraint.defects:x    e   0.000000E+00   -6.013708E-17    0.000000E+00              9.00000E+100
        159  traj.phase0.collocation_constraint.defects:x    e   0.000000E+00   -6.291264E-17    0.000000E+00              9.00000E+100
        160  traj.phase0.collocation_constraint.defects:x    e   0.000000E+00    2.127927E-17    0.000000E+00              9.00000E+100
        161  traj.phase0.collocation_constraint.defects:x    e   0.000000E+00   -5.273559E-17    0.000000E+00              9.00000E+100
        162  traj.phase0.collocation_constraint.defects:x    e   0.000000E+00   -3.145632E-17    0.000000E+00              9.00000E+100
        163  traj.phase0.collocation_constraint.defects:x    e   0.000000E+00   -1.387779E-18    0.000000E+00              9.00000E+100
        164  traj.phase0.collocation_constraint.defects:x    e   0.000000E+00   -1.665335E-17    0.000000E+00              9.00000E+100
        165  traj.phase0.collocation_constraint.defects:x    e   0.000000E+00    4.949744E-17    0.000000E+00              9.00000E+100
        166  traj.phase0.collocation_constraint.defects:x    e   0.000000E+00   -3.053113E-17    0.000000E+00              9.00000E+100
        167  traj.phase0.collocation_constraint.defects:x    e   0.000000E+00   -4.857226E-17    0.000000E+00              9.00000E+100
        168  traj.phase0.collocation_constraint.defects:x    e   0.000000E+00    1.757853E-17    0.000000E+00              9.00000E+100
        169  traj.phase0.collocation_constraint.defects:x    e   0.000000E+00    4.834096E-17    0.000000E+00              9.00000E+100
        170  traj.phase0.collocation_constraint.defects:x    e   0.000000E+00   -1.924387E-16    0.000000E+00              9.00000E+100
        171  traj.phase0.collocation_constraint.defects:x    e   0.000000E+00   -7.077672E-17    0.000000E+00              9.00000E+100
        172  traj.phase0.collocation_constraint.defects:x    e   0.000000E+00   -1.341519E-17    0.000000E+00              9.00000E+100
        173  traj.phase0.collocation_constraint.defects:x    e   0.000000E+00    5.273559E-17    0.000000E+00              9.00000E+100
        174  traj.phase0.collocation_constraint.defects:x    e   0.000000E+00    6.522560E-17    0.000000E+00              9.00000E+100
        175  traj.phase0.collocation_constraint.defects:x    e   0.000000E+00   -4.371503E-17    0.000000E+00              9.00000E+100
        176  traj.phase0.collocation_constraint.defects:x    e   0.000000E+00   -3.376928E-17    0.000000E+00              9.00000E+100
        177  traj.phase0.collocation_constraint.defects:x    e   0.000000E+00   -2.289835E-17    0.000000E+00              9.00000E+100
        178  traj.phase0.collocation_constraint.defects:x    e   0.000000E+00    3.585095E-17    0.000000E+00              9.00000E+100
        179  traj.phase0.collocation_constraint.defects:x    e   0.000000E+00   -1.186985E-16    0.000000E+00              9.00000E+100
        180  traj.phase0.continuity_comp.defect_states:v     e   0.000000E+00    0.000000E+00    0.000000E+00              9.00000E+100
        181  traj.phase0.continuity_comp.defect_states:v     e   0.000000E+00    0.000000E+00    0.000000E+00              9.00000E+100
        182  traj.phase0.continuity_comp.defect_states:v     e   0.000000E+00    0.000000E+00    0.000000E+00              9.00000E+100
        183  traj.phase0.continuity_comp.defect_states:v     e   0.000000E+00    0.000000E+00    0.000000E+00              9.00000E+100
        184  traj.phase0.continuity_comp.defect_states:v     e   0.000000E+00    0.000000E+00    0.000000E+00              9.00000E+100
        185  traj.phase0.continuity_comp.defect_states:v     e   0.000000E+00    0.000000E+00    0.000000E+00              9.00000E+100
        186  traj.phase0.continuity_comp.defect_states:v     e   0.000000E+00    0.000000E+00    0.000000E+00              9.00000E+100
        187  traj.phase0.continuity_comp.defect_states:v     e   0.000000E+00    0.000000E+00    0.000000E+00              9.00000E+100
        188  traj.phase0.continuity_comp.defect_states:v     e   0.000000E+00    0.000000E+00    0.000000E+00              9.00000E+100
        189  traj.phase0.continuity_comp.defect_states:v     e   0.000000E+00    0.000000E+00    0.000000E+00              9.00000E+100
        190  traj.phase0.continuity_comp.defect_states:v     e   0.000000E+00    0.000000E+00    0.000000E+00              9.00000E+100
        191  traj.phase0.continuity_comp.defect_states:v     e   0.000000E+00    0.000000E+00    0.000000E+00              9.00000E+100
        192  traj.phase0.continuity_comp.defect_states:v     e   0.000000E+00    0.000000E+00    0.000000E+00              9.00000E+100
        193  traj.phase0.continuity_comp.defect_states:v     e   0.000000E+00    0.000000E+00    0.000000E+00              9.00000E+100
        194  traj.phase0.continuity_comp.defect_states:v     e   0.000000E+00   -5.551115E-17    0.000000E+00              9.00000E+100
        195  traj.phase0.continuity_comp.defect_states:v     e   0.000000E+00    0.000000E+00    0.000000E+00              9.00000E+100
        196  traj.phase0.continuity_comp.defect_states:v     e   0.000000E+00    0.000000E+00    0.000000E+00              9.00000E+100
        197  traj.phase0.continuity_comp.defect_states:v     e   0.000000E+00    0.000000E+00    0.000000E+00              9.00000E+100
        198  traj.phase0.continuity_comp.defect_states:v     e   0.000000E+00    0.000000E+00    0.000000E+00              9.00000E+100
        199  traj.phase0.continuity_comp.defect_states:v     e   0.000000E+00    0.000000E+00    0.000000E+00              9.00000E+100
        200  traj.phase0.continuity_comp.defect_states:v     e   0.000000E+00    0.000000E+00    0.000000E+00              9.00000E+100
        201  traj.phase0.continuity_comp.defect_states:v     e   0.000000E+00    0.000000E+00    0.000000E+00              9.00000E+100
        202  traj.phase0.continuity_comp.defect_states:v     e   0.000000E+00    0.000000E+00    0.000000E+00              9.00000E+100
        203  traj.phase0.continuity_comp.defect_states:v     e   0.000000E+00    0.000000E+00    0.000000E+00              9.00000E+100
        204  traj.phase0.continuity_comp.defect_states:v     e   0.000000E+00    0.000000E+00    0.000000E+00              9.00000E+100
        205  traj.phase0.continuity_comp.defect_states:v     e   0.000000E+00    0.000000E+00    0.000000E+00              9.00000E+100
        206  traj.phase0.continuity_comp.defect_states:v     e   0.000000E+00    0.000000E+00    0.000000E+00              9.00000E+100
        207  traj.phase0.continuity_comp.defect_states:v     e   0.000000E+00    0.000000E+00    0.000000E+00              9.00000E+100
        208  traj.phase0.continuity_comp.defect_states:v     e   0.000000E+00    0.000000E+00    0.000000E+00              9.00000E+100
        209  traj.phase0.continuity_comp.defect_states:x     e   0.000000E+00    0.000000E+00    0.000000E+00              9.00000E+100
        210  traj.phase0.continuity_comp.defect_states:x     e   0.000000E+00   -4.336809E-19    0.000000E+00              9.00000E+100
        211  traj.phase0.continuity_comp.defect_states:x     e   0.000000E+00    0.000000E+00    0.000000E+00              9.00000E+100
        212  traj.phase0.continuity_comp.defect_states:x     e   0.000000E+00    0.000000E+00    0.000000E+00              9.00000E+100
        213  traj.phase0.continuity_comp.defect_states:x     e   0.000000E+00    1.734723E-18    0.000000E+00              9.00000E+100
        214  traj.phase0.continuity_comp.defect_states:x     e   0.000000E+00    0.000000E+00    0.000000E+00              9.00000E+100
        215  traj.phase0.continuity_comp.defect_states:x     e   0.000000E+00   -3.469447E-18    0.000000E+00              9.00000E+100
        216  traj.phase0.continuity_comp.defect_states:x     e   0.000000E+00    0.000000E+00    0.000000E+00              9.00000E+100
        217  traj.phase0.continuity_comp.defect_states:x     e   0.000000E+00    0.000000E+00    0.000000E+00              9.00000E+100
        218  traj.phase0.continuity_comp.defect_states:x     e   0.000000E+00    0.000000E+00    0.000000E+00              9.00000E+100
        219  traj.phase0.continuity_comp.defect_states:x     e   0.000000E+00    0.000000E+00    0.000000E+00              9.00000E+100
        220  traj.phase0.continuity_comp.defect_states:x     e   0.000000E+00    0.000000E+00    0.000000E+00              9.00000E+100
        221  traj.phase0.continuity_comp.defect_states:x     e   0.000000E+00    0.000000E+00    0.000000E+00              9.00000E+100
        222  traj.phase0.continuity_comp.defect_states:x     e   0.000000E+00    0.000000E+00    0.000000E+00              9.00000E+100
        223  traj.phase0.continuity_comp.defect_states:x     e   0.000000E+00    0.000000E+00    0.000000E+00              9.00000E+100
        224  traj.phase0.continuity_comp.defect_states:x     e   0.000000E+00    0.000000E+00    0.000000E+00              9.00000E+100
        225  traj.phase0.continuity_comp.defect_states:x     e   0.000000E+00    0.000000E+00    0.000000E+00              9.00000E+100
        226  traj.phase0.continuity_comp.defect_states:x     e   0.000000E+00    0.000000E+00    0.000000E+00              9.00000E+100
        227  traj.phase0.continuity_comp.defect_states:x     e   0.000000E+00    0.000000E+00    0.000000E+00              9.00000E+100
        228  traj.phase0.continuity_comp.defect_states:x     e   0.000000E+00    0.000000E+00    0.000000E+00              9.00000E+100
        229  traj.phase0.continuity_comp.defect_states:x     e   0.000000E+00    0.000000E+00    0.000000E+00              9.00000E+100
        230  traj.phase0.continuity_comp.defect_states:x     e   0.000000E+00    0.000000E+00    0.000000E+00              9.00000E+100
        231  traj.phase0.continuity_comp.defect_states:x     e   0.000000E+00    0.000000E+00    0.000000E+00              9.00000E+100
        232  traj.phase0.continuity_comp.defect_states:x     e   0.000000E+00    0.000000E+00    0.000000E+00              9.00000E+100
        233  traj.phase0.continuity_comp.defect_states:x     e   0.000000E+00    0.000000E+00    0.000000E+00              9.00000E+100
        234  traj.phase0.continuity_comp.defect_states:x     e   0.000000E+00    0.000000E+00    0.000000E+00              9.00000E+100
        235  traj.phase0.continuity_comp.defect_states:x     e   0.000000E+00    0.000000E+00    0.000000E+00              9.00000E+100
        236  traj.phase0.continuity_comp.defect_states:x     e   0.000000E+00    0.000000E+00    0.000000E+00              9.00000E+100
        237  traj.phase0.continuity_comp.defect_states:x     e   0.000000E+00    0.000000E+00    0.000000E+00              9.00000E+100
   Exit Status
      Inform  Description
           0  Optimization terminated successfully.
--------------------------------------------------------------------------------
Simulating trajectory traj
Done simulating trajectory traj
Problem: problem
Driver:  pyOptSparseDriver
  success     : True
  iterations  : 21
  runtime     : 2.9717E+00 s
  model_evals : 21
  model_time  : 1.3438E-02 s
  deriv_evals : 20
  deriv_time  : 9.0613E-02 s
  exit_status : SUCCESS
sol = om.CaseReader(p.get_outputs_dir() / 'dymos_solution.db').get_case('final')
sim = om.CaseReader(traj.sim_prob.get_outputs_dir() / 'dymos_simulation.db').get_case('final')
plot_results([('traj.phase0.timeseries.time', 'traj.phase0.timeseries.x',
               'time (s)', 'x $(m)$'),
              ('traj.phase0.timeseries.time', 'traj.phase0.timeseries.v',
               'time (s)', 'v $(m/s)$'),
              ('traj.phase0.timeseries.time', 'traj.phase0.timeseries.u',
               'time (s)', 'u $(m/s^2)$')],
             title='Double Integrator Solution\nRadau Pseudospectral Method',
             p_sol=sol, p_sim=sim)
plt.show()
 
 
    
  
  
